首页
学院概况
学院简介
现任领导
党委委员分工
内设机构
行政机构
二级教学单位
招生就业
招生专栏
就业专栏
教学科研
新闻动态
通知公告
教学运行
实践教学
教学研究
科技与产业合作
国际交流与继续教育
规章制度
相关下载
学生工作
思政教育
学工动态
学生管理
资助育人
心理健康
党团工作
党建工作
团委工作
工会工作
校园服务
通知公告
工作动态
服务保障
安全与督查
招投标管理
校车
校历
通大视频
网络电视
附属医院
南通大学杏林学院附属南京江北医院
南通大学杏林学院附属通州区人民医院
南通大学杏林学院附属海门区人民医院
南通大学杏林学院附属建湖医院
南通大学杏林学院附属如皋医院
南通大学杏林学院附属如东医院
南通大学杏林学院附属镇江中西医结合医院
南通大学杏林学院附属大丰医院
南通大学杏林学院附属惠山医院
信息公开
信息公开指南、目录、规章、申请及其他
一、基本信息
二、招生考试信息
三、财务、资产及收费信息
四、人事师资信息
五、教学质量信息
六、学生管理服务信息
七、学风建设信息
八、 学位、学科信息
九、对外交流与合作信息
十、其他
十一、特色项目
学校主页
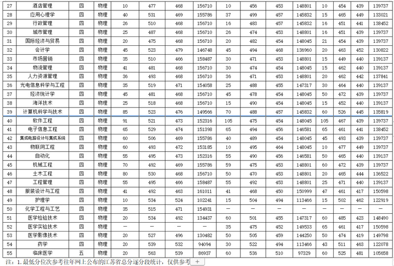
我院2021-2023年江苏省各专业录取情况
发布时间:2024-06-26
浏览次数:
3254